通用名称:Hexaflumuron
化学名称:1-[3.5-二氯-4-(1,1,2,2,-四氟乙氧苯)苯基]-3-(2.6-二氟苯甲酰基)脲
分子式:C16H8Cl2F6N2O3
分子量:461.1
CAS号:86479-06-3
毒性LD50(mg/kg):
大白鼠急性经口大于5000,大白鼠急性经皮大于5000;大白鼠急性吸入LC50(4h)>2.5mg/L(达到的最大浓度)。在田间条件下,仅对水虱有明显的危害。对蜜蜂的接触和经口LD50均大于0.1mg/蜜蜂。
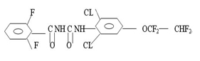
结构式:


用途:本品是苯甲酰基脲系列杀虫剂,对害虫主要是胃毒及触杀作用,用于防治棉花,森林树木,水果和大豆上的鞘翅目、双翅目、鳞翅目害虫,且对天敌无害。
产品说明:
本品可制成单剂也可与高效氯氰菊酯、辛硫磷、毒死蜱、阿维菌素、敌敌畏、甲氨基阿维菌素等多种农药复配形成系列产品。
规格: 97%
包装规格:25kg/纸板桶


